+7 (495) 477-44-50
Будни 09:00 - 18:00
Не работаем
🏠 > 
Решения >
КСОКМ
Очистка дымовых газов
керамическими сотовыми объемными каталитическими мембранами КСОКМ
Керамическая сотовая объемная каталитическая мембрана (КСОКМ) сочетает в себе функции фильтрации и катализа для удаления взвешенных веществ (≥ 99,9%) и оксидов азота (≥ 95%).
ПРЕИМУЩЕСТВА:
  • Высокая температура (≥ 900ºС);
  • Низкий перепад давления (200-700 Па);
  • Сверхнизкий уровень выбросов (≥ 5 мг/м3);
  • Система имеет небольшие габариты;
  • Низкие эксплуатационные расходы;
  • Высокий коэффициент использования катализатора.


ТЕХНИЧЕСКИЕ ХАРАКТЕРИСТИКИ:
  • Основное используемое сырье – кордиерит;
  • Ступенчатое уплотнение на концах каналов;
  • Сотовая структура со стенками;
  • Малый путь фильтрации (≤ 2 мм);
  • Высокая пористость (> 50 %);
  • Высокая стойкость к тепловому удару (> 350 ºС);
  • Катализатор с объемной загрузкой для денитрификации;
  • Денитрификация при температуре (150 - 400ºС).
Технология КСОКМ обеспечивает высокую степень очистки при низкой стоимости высокотемпературной очистки дымовых газов за счет инноваций в материалах и интеграции процессов. Эффективна для суровых условий труда в различных отраслях промышленности, обеспечивает защиту окружающей среды и сверхнизкий уровень промышленных выбросов.
Запрос полной презенации
Оставьте свои контактыне данные. Мы свяжемся с Вами и отправим презенацию на E-mail.
Используемый материал для очистки дымовых газов
Используя кордиерит в качестве основного сырья, получают керамическую сотовую объемную керамическую мембрану (КСОКМ) с высокой пористостью (>50%), высокой устойчивостью к тепловому удару (>350℃) и подходящим распределением пор по размерам, что не только повышает точность фильтрации и термическую стабильность материала, но и значительно снижает сопротивление фильтрации системы.
Структура КСОКМ
(керамической сотовой объемной каталитической мембраны)
КСОКМ имеет конструкцию с проточной структурой, которая образует ряды параллельных каналов, концы каналов расположены в шахматном порядке и герметизированы, так что каждый параллельный канал создает независимое впускное (выпускное) устройство.
Основные методы очистки дымовых газов
  • Высокотемпературная очистка дыма, удаление пыли и денитрация (NOx) являются основными составляющими очистки высокотемпературных дымовых газов (>200ºС и более).
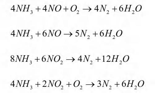
  • Селективное каталитическое восстановление (SCR), превращение оксидов азота (NOx) в азот (N2) и водяной пар (Н2О) используя аммиак в качестве восстановителя, при участии катализатора для реакции избирательного восстановления оксидов азота в дымовых газах.
Особенности: Проверенная технология, температура реакции 200℃ ~ 450 ℃.
Селективное некаталитическое восстановление
В отсутствие катализатора, при использовании аммиака, оксиды азота восстанавливаются до азота. Однако эта реакция требует высокой температуры (около 1000 °C), что создает экстремальные условия и приводит к низкой эффективности.
Селективное каталитическое восстановление
Селективное каталитическое восстановление включает два самостоятельных независимых процесса: денитрации и степень очистки от взвешенных веществ до ≥ 99,9%.

Благодаря этой схеме снижается температура процесса денитрации до 200ºС - 400ºС с эффективным удалением до ≥ 95% и также удаление вредных газов при разработке индивидуальных катализаторов для конкретных газов.

Срок службы используемых катализаторов составляет до 2 лет, после чего блоки с катализаторами требуют замены.
  • Высокотемпературная очистка дыма, удаление пыли и денитрация (NOx) являются основными составляющими очистки высокотемпературных дымовых газов (>200ºС и более).
Особенности: Отработанная технология с катализатором , температура реакции 200℃ - 450 ℃.
Технические характеристики
Интегрированное оборудование для удаления
взвешенных веществ и оксидов азота
Удаление взвешенных веществ
Дымовые газы поступают по газоходу в основной корпус пылесборника и проходят через керамический фильтр. Взвешен- ные вещества и микрогели (частицы РМ2.5) крупностью более 2 мкм задерживаются на внешней поверхности рабочего канала фильтра. После большого скопления взвешенных веществ и при увеличении сопротивления рабочего канала включается обратная продувка. На время продувки открывается доступ к резервному каналу, который становится рабочим, поток газов направляется по нему. Таким образом производится попере- менная работа каналов в режиме фильтрации и режиме продувки. Обратная продувка собирает отфильтрованные взвешенные вещества в емкости для сбора пыли.
Денитрация
Аммиак в качестве восстановителя распыляется в газоходе дымовых газов и поступает в интегрированную установку где на поверхности керамических сотовых объемных катали- тических мембран происходит каталитическая реакция с восстановлением аммиаком оксидов азота (NOx) содержа- щихся в дымовых газах при этом происходит их разложение и восстановление до азота и водяного пара.
Принцип работы фильтровальных мембран
для удаления взвешенных веществ
Сферы применения интегрированных установок
удаления взвешенных веществ и оксидов азота (NOx)
1. Комплексная очистка от высокотемпературных дымовых газов, пыли и оксидов азота (NOx)
Установки используется во многих отраслях, таких как металлургия, для ТЭЦ и котельных, производств с промышленными печами, газификация биомассы, сжигание отходов и т.д., где обеспечивают высокое удаление ультрадисперсной сажи. Эффективность (скорость удаления частиц размером более 2 мкм превышает 99,9%), это также значительно повышает коэффициент использования катализатора денитрации, продлевает срок его службы, сокращает площадь оборудования, инвестиционные и эксплуатационные расходы, а также повышает эффективность использования тепла отходящих дымовых газов.
2. Комбинированная система выработки электроэнергии с рекуперацией тепла выхлопных газов
Производство электроэнергии в комбинированном цикле газификации угля представляет собой новую технологию получения тепловой энергии. В дополнение к использованию значительного количества тепла газа для нагрева воды с получением пара для выработки электроэнергии, оно также использует значительное количество тепла газа для нагрева воды с получением пара для выработки электроэнергии. Кроме того, газовая среда также может быть использована для приведения в действие двигателя для выработки электроэнергии. Эта технология предъявляет чрезвычайно высокие требования к содержанию пыли в газе, как правило, ниже 5 мг/м3, и требует применения высокотемпературной сверхчистой технологии и оборудования для удаления пыли.
3. Предотвращение образования диоксинов
Дымовые газы, образующиеся при сжигании отходов, препятствуют образованию и очистке диоксинов Существуют, в основном следующие способы получения диоксина из дымовых газов при сжигании отходов: Повторный синтез отходов: Предшественник диоксина, образующийся в результате реакции неполного сгорания, и несгоревшие циклические углеводородные вещества, содержащиеся в мусоре, под каталитическим действием частиц Cu, Ni, Fe и других металлов, содержащихся в саже, вступают в реакцию с хлоридами, содержащимися в дымовых газах, с образованием диоксиноподобных веществ. Температура каталитической реакции составляет около 300ºС, при этом легко образуются диоксиноподобные вещества. Технология высокотемпературного удаления взвешенных веществ с керамической сотовой объемной каталитической мембраной при использовании в процессе сжигания отходов для фильтрации и удаления летучей золы, содержащей Cu, Ni, Fe и другие металлы, обладающие каталитической активностью при высокой температуре, превышающей 520ºС, тем самым препятствует образованию диоксинов.
Оставьте телефон
Перезвоним и проконсультируем
Контактная информация
г. Москва, Дмитровское ш., 71Б, БЦ "7 ONE"
9:00-18:00 Будни
© 2016-2025 ООО "ГРИНКЛИМАТРУС" ИНН: 7724381219 ОГРН: 1167746851502